Jahrgang 5
Materialien für den 5. Jahrgang.
| Filename / Link | Size |
|---|---|
| 5-1-D-Mey-001.pdf | 196.99 Kb |
| 5-1-D-Mey-002.pdf | 173.13 Kb |
| 5-1-D-Mey-003.pdf | 175.35 Kb |
| 5-1-D-Mey-004.pdf | 314.06 Kb |
| 5-1-E-Mey-001.pdf | 1.8 Mb |
| 5-1-GL-Mey-001.pdf | 1.91 Mb |
| 5-3-M-Aka-001.pdf | 37.86 Kb |
Jahrgang 6
Materialien für den 6. Jahrgang.
| Filename / Link | Size |
|---|---|
| 6-2-E-Raa.pdf | 729.63 Kb |
| 6-2-M-Schiller .pdf | 491.31 Kb |
| 6-3-AnFö-WEB-001.pdf | 493.87 Kb |
| 6-4-M-Koc-001.docx | 316.43 Kb |
| 6-Alle Klassen-GL.pdf | 70.79 Kb |
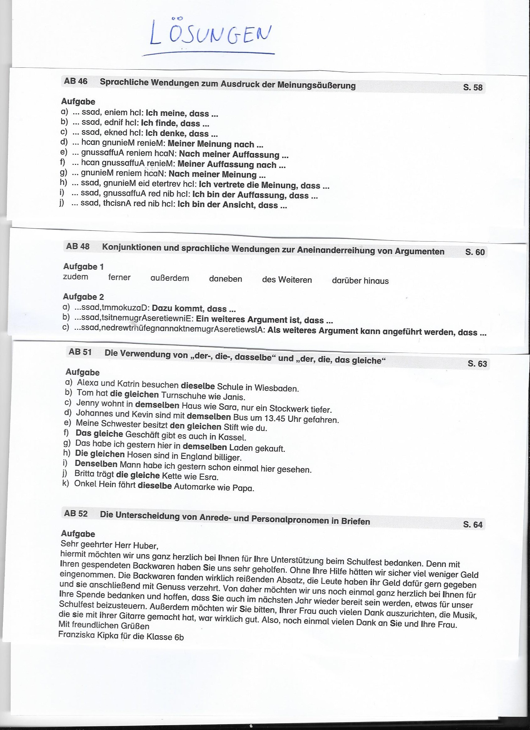
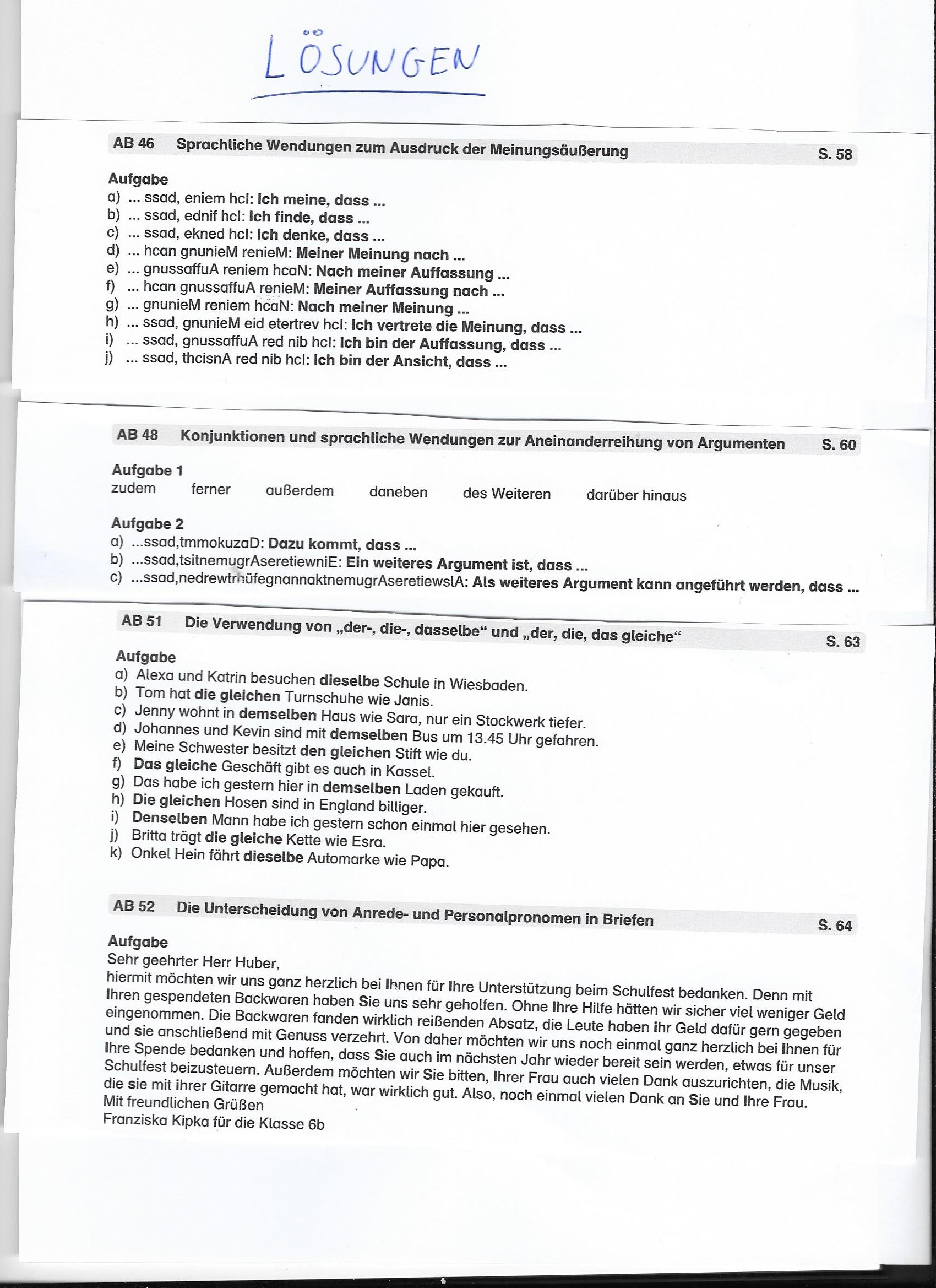
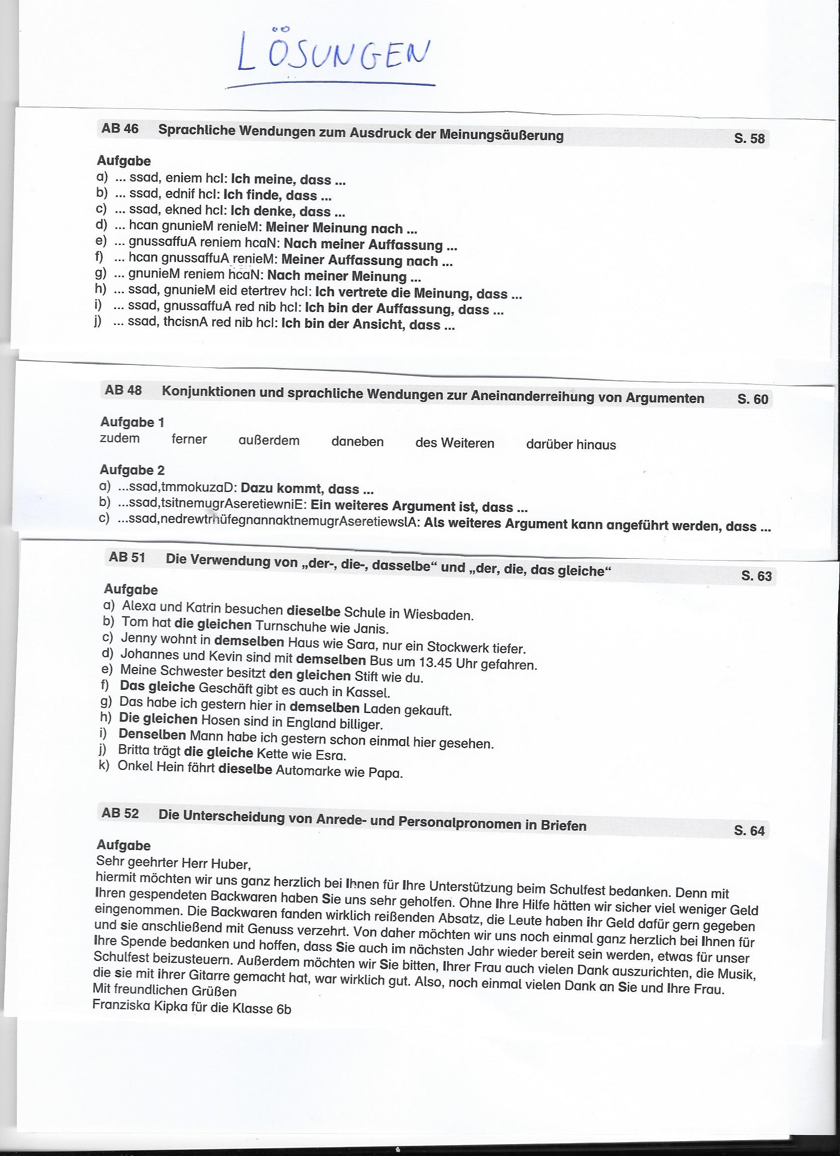
| 6-D-Alle-001.jpg | 645.88 Kb |
| 6-D-Alle-002.jpg | 519.36 Kb |
| 6-D-Alle-003.jpg | 609.14 Kb |
| 6-D-Alle-004.jpg | 652.27 Kb |
| 6-D-Alle-005.jpg | 707.64 Kb |
| 6-M-Arl-001.doc | 22.5 Kb |
| Argumentieren Corona-Krise.pdf | 102.89 Kb |
| Argumentieren Mundschutzpflicht.pdf | 98.91 Kb |
| Einkaufen Corona -Krise.pdf | 163.18 Kb |
Jahrgang 7
Materialien für den 7. Jahrgang.
| Filename / Link | Size |
|---|---|
| 7-1-GL-Koc-001 .docx | 14.88 Kb |
| 7-1-Gk-E-Neu.pdf | 1.62 Mb |
| 7-2-GL-Kam-001.docx | 17.49 Kb |
| 7-2-Gk-E-Neu.pdf | 1.62 Mb |
| 7-AnFö-WEB-001.pdf | 796.1 Kb |
| 7-E-E-Raa.pdf | 1.18 Mb |
| 7-E-GK-Neu_2.pdf | 1.49 Mb |
| 7-Gk-M-Arl-001.doc | 22.5 Kb |
| 7-Gk-M-Bis-001.docx | 54.71 Kb |
| 7-Gk-M-Bis-002.docx | 60.71 Kb |
| 7-Gk-M-Koc-001.docx | 4.36 Mb |
| 7-Gk-M-Koc-002.pdf | 6.66 Mb |
| 7-Gk-M-Koc-003.docx | 193.59 Kb |
| Argumentieren Corona-Krise.pdf | 102.89 Kb |
| Argumentieren Mundschutzpflicht.pdf | 98.91 Kb |
| Einkaufen Corona -Krise.pdf | 163.18 Kb |
Jahrgang 8
Materialien für den 8. Jahrgang.
| Filename / Link | Size |
|---|---|
| 8-1-8-3-GL-SAH-001.pdf | 265.29 Kb |
| 8-1-8-3-GL-SAH-002.pdf | 542.87 Kb |
| 8-1-8-3-GL-SAH-003.pdf | 540.6 Kb |
| 8-2-Bio-Web-001.pdf | 465.83 Kb |
| 8-2-D-Mey-Web-001.pdf | 1.16 Mb |
| 8-3-DE-AVSNEA-001..pdf | 133.87 Kb |
| 8-4-D-Lan-001.pdf | 1.71 Mb |
| 8-4-GL-Avs-001..pdf | 60.58 Kb |
| 8-4-GL-Avs-002..pdf | 41.41 Kb |
| 8-4-GL-Avs-003..pdf | 1.03 Mb |
| 8-4-GL-Avs-005.pdf | 999.89 Kb |
| 8-4-GL-Avs-006..pdf | 972.52 Kb |
| 8-4-GL-Avs-007..pdf | 939.26 Kb |
| 8-4-GL-Avs-008..pdf | 928.31 Kb |
| 8-4-GL-Avs-009..pdf | 3.7 Mb |
| 8-4-Gk-E-Fra-British Isles.pdf | 373.41 Kb |
| 8-4-Gk-E-Fra-Canada Facts.pdf | 275.24 Kb |
| 8-4-Gk-E-Fra-Indian Wars.pdf | 119.33 Kb |
| 8-4-Gk-E-Fra-Quiz.pdf | 125.27 Kb |
| 8-4-Gk-E-Fra-Vocabulary.pdf | 3.44 Mb |
| 8-4-Gl-Avs-004..pdf | 1009.85 Kb |
| 8-EK-E-Wrm-grammar.pdf | 1.91 Mb |
| 8-EK-E-Wrm-reading and writing.pdf | 4.8 Mb |
| 8-EK-E-Wrm-vocabulary.pdf | 1.85 Mb |
| 8-Gk-E-BND-001.pdf | 105.95 Kb |
| 8-Gk-M-Bis-001.docx | 12.21 Kb |
| 8-Gk-M-Bis-002.docx | 12.2 Kb |
| 8-Gk-M-Bis-003.docx | 12.83 Kb |
| Argumentieren Corona-Krise.pdf | 102.89 Kb |
| Argumentieren Mundschutzpflicht.pdf | 98.91 Kb |
| Einkaufen Corona -Krise.pdf | 163.18 Kb |
Jahrgang 9
Materialien für den 9. Jahrgang.
Jahrgang 10
Materialien für den 10. Jahrgang..
| Filename / Link | Size |
|---|---|
| 10-2-Ph-Win-001.pdf | 260.13 Kb |
| 10-4-Bio-Web-001.pdf | 445.01 Kb |
| 10-6-Ph-Win-001.pdf | 261.24 Kb |
| 10-Alle-D-Kommasetzung.pdf | 422.24 Kb |
Jahrgang EF
Materialien für den 11. Jahrgang..
Jahrgang Q1
Materialien für den 12. Jahrgang..
| Filename / Link | Size |
|---|---|
| 12-E-Raa-001-Nigeria.pdf | 7.63 Mb |
| 12-E-Raa-002-vocabulary.pdf | 2.15 Mb |
| 12-Gk-M-Hil-Rekonstruktion von Beständen.pdf | 95.11 Kb |
| 12-Gk-M-Hil-Stammfunktion0002.pdf | 1.16 Mb |
| 12-Gk-M-Hil-Stammfunktion001.pdf | 795.62 Kb |
Jahrgang Q2
Materialien für den 13. Jahrgang..
